Search Your Paper

Sunday, January 11, 2015




punjabtechnicaluniversity.blogspot.in

Dec 2013 Paper 3

01.         
If the primal Linear Programming problem has unbounded solution, then it’s dual problem will have
(A)          feasible solution
(B)          alternative solution
(C)          no feasible solution at all
(D)          no bounded solution at all
 Answer: C


02.         
Given the problem to maximize
f(x), X = (x1, x2,......xn)
subject to m number of inequality constraints.
gi(x) ≤ bi, i = 1, 2......m
including the non-negativity constraints x ≥ 0.
Which of the following conditions is a Kuhn-Tucker necessary condition for a local maxima at x̄ ?
(A)          ∂L( X̄, λ̄ , S̄) / ∂xj = 0, j = 1, 2….m
(B)          λ̄i [gi (X̄) – bi]= 0, i = 1, 2 ….m
(C)          gi (X̄) ≤ bi, i = 1, 2 ….m
(D)          All of these
 Answer: D


03.         
The following Linear Programming problem has :
Max Z = x1 + x2
Subject to x1 – x2 ≥ 0
3x1 – x2 ≤ –3 and x1, x2 ≥ 0
(A)          Feasible solution
(B)          No feasible solution
(C)          Unbounded solution
(D)          Single point as solution
 Answer: B


04.         
Given a flow graph with 10 nodes, 13 edges and one connected components, the number of regions and the number of predicate (decision) nodes in the flow graph will be
(A)          4, 5
(B)          5, 4
(C)          3, 1
(D)          13, 8
 Answer: B


05.         
Function points can be calculated by
(A)          UFP CAF
(B)          UFP FAC
(C)          UFP Cost
(D)          UFP Productivity
 Answer: A



06.         
Match the following :
List – I   List – II
a.            Data coupling     i.              Module A and Module B have shared data
b.            Stamp coupling ii.             Dependency between modules is based on the fact they communicate by only passing of data
c.             Common coupling           iii.            When complete data structure is passed from one module to another
d.            Content coupling             iv.           When the control is passed from one module to the middle of another
                a              b             c              d
(A)          iii             ii              i               iv
(B)          ii              iii             i               iv
(C)          ii              iii             iv             i
(D)          iii             ii              iv             i
 Answer: B



07.         
A process which defines a series of tasks that have the following four primary objectives is known a
1              to identify all items that collectively define the software configuration.
2              to manage changes to one or more of these items.
3              to facilitate the construction of different versions of an application.
4              to ensure that software quality is maintained as the configuration evolves over time.
(A)          Software Quality Management Process
(B)          Software Configuration Management Process
(C)          Software Version Management Process
(D)          Software Change Management Process
 Answer: B



08.         
One weakness of boundary value analysis and equivalence partitioning i
(A)          they are not effective.
(B)          they do not explore combinations of input circumstances.
(C)          they explore combinations of input circumstances.
(D)          none of the above.
 Answer: B



09.         
Which once of the following is not a software myth ?
(A)          Once we write the program and get it to work, our job is done.
(B)          Project requirements continually change, but change can be easily accommodated because software is flexible.
(C)          If we get behind schedule, we can add more programmers and catch up.
(D)          If an organization does not understand how to control software projects internally, it will invariably struggle when it outsources software projects.
 Answer: D



10.         
Match the following with respect to relationship between objects and classes :
List – I   List – II
a.            State diagram    i.              Useful for both abstract modelling and for designing actual program
b.            Object diagram ii.             Describes object classes
c.             Class diagram     iii.            Useful for documenting test cases
d.            Instance diagram             iv.           Describing the behaviour of a single class of objects.
                a              b             c              d
(A)          iv             i               ii              iii
(B)          ii              iii             iv             i
(C)          iii             iv             ii              i
(D)          ii              iv             i               iii
 Answer: A






11.         
Match the following style rules for reusability :
List – I   List – II
a.            Keep methods coherent              i.              Write a method to get the last element of a list
b.            Keep methods small       ii.             Maintain parallel structure when possible
c.             Keep methods consistent            iii.            Breaking a method into smaller parts
d.            Provide uniform coverage           iv.           Performs a single function or a group of closely related functions.
                a              b             c              d
(A)          iv             iii             ii              i
(B)          ii              i               iv             iii
(C)          iii             iv             ii              i
(D)          ii              iii             iv             i
 Answer: A



12.         
Which is the protocol for performing RPCs between applications in a language and system independent way ?
(A)          Hyper Text Transmission Protocol (HTTP)
(B)          Simple Network Management Protocol (SNMP)
(C)          Simple Object Access Protocol (SOAP)
(D)          Simple Mail Transfer Protocol (SMTP)
 Answer: C



13.         
The document that is used by XSLT to indicate, how to transform the elements of the XML document to another format i
(A)          HTML page
(B)          DOC type procedure
(C)          Style sheet
(D)          Stored procedure
 Answer: C



14.         
Which of the following concepts means adding new concepts to a program as it runs ?
(A)          Data hiding
(B)          Dynamic loading
(C)          Dynamic typing
(D)          Dynamic binding
 Answer: B



15.         
Which of the following correctly describes overloading of functions ?
(A)          Virtual polymorphism
(B)          Transient polymorphism
(C)          Ad-hoc polymorphism
(D)          Pseudo polymorphism
 Answer: C



16.         
Match the following with respect to programming languages :
List – I   List – II
a.            Structured Language      i.              JAVA
b.            Non-structured Language            ii.             BASIC
c.             Object Oriented Programming Language              iii.            PASCAL
d.            Interpreted Programming Language       iv.           FORTRAN
                a              b             c              d
(A)          iii             iv             i               ii
(B)          iv             iii             ii              i
(C)          ii              iv             i               iii
(D)          ii              iii             iv             i
 Answer: A



17.         
The compiler converts all operands upto the type of the largest operand is called
(A)          Type Promotion
(B)          Type Evaluation
(C)          Type Conversion
(D)          Type Declaration
 Answer: A



18.         
C++ actually supports the following two complete dynamic systems :
(A)          One defined by C++ and the other not defined by C.
(B)          One defined by C and one specific to C++
(C)          Both are specific to C++
(D)          Both of them are improvements of C
 Answer: B



19.         
Important advantage of using new and delete operators in C++ i
(A)          Allocation of memory
(B)          Frees the memory previously allocated
(C)          Initialization of memory easily
(D)          Allocation of memory and frees the memory previously allocated.
 Answer: D



20.         
Match the following control strategies of prolog :
List – I   List – II
a.            Forward movement       i.              Variable can be done with a constant, another variable or a function.
b.            Unification          ii.             The entire conjunctive goal is executed.
c.             Deep backtracking           iii.            Previous sub goal to find alternative solutions.
d.            Shallow backtracking      iv.           Chooses sub goal with possible unifier.
                a              b             c              d
(A)          iv             i               ii              iii
(B)          ii              iv             i               iii
(C)          iii             i               iv             ii
(D)          ii              iii             iv             i
 Answer: A



21.         
Given the following statements :
S1:          The grammars S → asb | bsa | ss | a
and S → asb | bsa | a are
not equivalent.
S2:          The grammars S → ss | sss | asb | bsa | λ
and S → ss | asb | bsa | λ
are equivalent.
Which of the following is true ?
(A)          S1 is correct and S2 is not correct.
(B)          Both S1 and S2 are correct.
(C)          S1 is not correct and S2 is correct.
(D)          Both S1 and S2 are not correct.
 Answer: A



22.         
What are the final values of Q1 and Q0 after 4 clock cycles, if initial values are 00 in the sequential circuit shown below :





(A)          11
(B)          10
(C)          01
(D)          00
 Answer: D



23.          High level knowledge which relates to the use of sentences in different contexts and how the context affect the meaning of the sentences ?
(A)          Morphological
(B)          Syntactic
(C)          Semantic
(D)          Pragmatic
 Answer: D



24.         
The objective of ___ procedure is to discover at least one ___ that causes two literals to match.
(A)          unification, validation
(B)          unification, substitution
(C)          substitution, unification
(D)          minimax, maximum
 Answer: B



25.         
If h* represents an estimate of the cost of getting from the current node N to the goal node and h represents actual cost of getting from the current node to the goal node, then A* algorithm gives an optimal solution if
(A)          h* is equal to h
(B)          h* overestimates h
(C)          h* underestimates h
(D)          none of these
 Answer: C



26.         
The mean-end analysis process centers around the detection of differences between the current state and goal state. Once such a difference is isolated, an operator that can reduce the difference must be found. But perhaps that operator can not be applied to the current state. So a sub-problem of getting to a state in which it can be applied is set up. The kind of backward chaining in which operators are selected and then sub goals are set up to establish the precondition of operators is called
(A)          backward planning
(B)          goal stack planning
(C)          operator subgoaling
(D)          operator overloading
 Answer: C



27.         
In alpha-beta pruning, ___ is used to cut off the search at maximizing level only and ___ is used to cut off the search at minimizing level only.
(A)          alpha, beta
(B)          beta, alpha
(C)          alpha, alpha
(D)          beta, beta
 Answer: B



28.         
If A and B are two fuzzy sets with membership functions
μA(x) = {0.2, 0.5, 0.6, 0.1, 0.9}
μB(x) = {0.1, 0.5, 0.2, 0.7, 0.8}
Then the value of μA B will be
(A)          {0.2, 0.5, 0.6, 0.7, 0.9}
(B)          {0.2, 0.5, 0.2, 0.1, 0.8}
(C)          {0.1, 0.5, 0.6, 0.1, 0.8}
(D)          {0.1, 0.5, 0.2, 0.1, 0.8}
 Answer: D



29.         
The height h(A) of a fuzzy set A is defined as
h(A) = sup A(x)
x A
Then the fuzzy set A is called normal when
(A)          h(A) = 0
(B)          h(A) < 0
(C)          h(A) = 1
(D)          h(A) < 1
 Answer: C



30.         
An artificial neuron receives n inputs x1, x2,...., xn with weights w1, w2,...., wn attached to the input links.
The weighted sum ___ is computed to be passed on to a non-linear filter φ called activation function to release the output.
(A)          Σ wi
(B)          Σ xi
(C)          Σ wi + Σ xi
(D)          Σ wi xi
 Answer: D



31.         
Consider the formula in image processing
RD = 1 – 1/CR
Where CR = n1 / n2
CR is called as compression ratio n1 and n2 denotes the number of information carrying units in two datasets that represent the same information. In this situation RD is called as relative ___ of the first data set.
(A)          Data Compression
(B)          Data Redundancy
(C)          Data Relation
(D)          Data Representation
 Answer: B



32.         
Find the false statement :
(A)          In Modern Cryptography, symmetric key algorithms use same key both for Encryption and Decryption.
(B)          The symmetric cipher DES (Data Encryption Standard) was widely used in the industry for security product.
(C)          The AES (Advanced Encryption Standard) cryptosystem allows variable key lengths of size 56 bits and 124 bits.
(D)          Public key algorithms use two different keys for Encryption and Decryption.
 Answer: C



33.         
The message 11001001 is to be transmitted using the CRC polynomial x3 + 1 to protect it from errors. The message that should be transmitted i
(A)          110010011001
(B)          11001001
(C)          110010011001001
(D)          11001001011
 Answer: D



34.         
___ comparisons are necessary in the worst case to find both the maximum and minimum of n numbers.
(A)          2n – 2
(B)          n + floor (lg n) – 2
(C)          floor (3n/2) – 2
(D)          2 * lg n – 2
 Answer: C



35.         
Let A and B be two n × n matrices. The efficient algorithm to multiply the two matrices has the time complexity
(A)          O(n3)
(B)          O(n2.81)
(C)          O(n2.67)
(D)          O(n2)
 Answer: B



36.         
The recurrence relation T(n) = m T( n/2) tan2 is satisfied by
(A)          O(n2)
(B)          O(nlg m)
(C)          O(n2 * lg n)
(D)          O(n * lg n)
 Answer: *



37.         
The longest common subsequence of the sequences X = <A, B, C, B, D, A, B> and Y = <B, D, C, A, B, A> has length
(A)          2
(B)          3
(C)          4
(D)          5
 Answer: C



38.         
Assuming there are n keys and each key is in the range [0, m – 1]. The run time of bucket sort i
(A)          O(n)
(B)          O(n * lg n)
(C)          O(n * lg m)
(D)          O(n + m)
 Answer: D



39.         
A ___ complete subgraph and a ___ subset of vertices of a graph G = (V, E) are a clique and a vertex cover respectively.
(A)          minimal, maximal
(B)          minimal, minimal
(C)          maximal, maximal
(D)          maximal, minimal
 Answer: D



40.         
Pumping lemma for context-free languages states :
Let L be an infinite context free language. Then there exists some positive integer m such that any w L with |w| ≥ m can be decomposed as w = uv xy Z with |vxy| ___ and |vy| ___ such that uvż xyż
Z L for all ż = 0, 1, 2, ....... .
(A)          ≤ m, ≤ 1
(B)          ≤ m, ≥ 1
(C)          ≥ m, ≤ 1
(D)          ≥ m, ≥ 1
 Answer: B



41.         
The Greibach normal form grammar for the language
L = {an bn + 1 | n ≥ 0} i
(A)          S → a SB, B → bB | λ
(B)          S → a SB, B → bB | b
(C)          S → a SB | b, B → b
(D)          S → a Sb | b
 Answer: C



42.          Given the following statements :
S1:          Every context-sensitive language L is recursive.
S2:          There exists a recursive language that is not context sensitive.
Which statement is correct ?
(A)          S1 is not correct and S2 is not correct.
(B)          S1 is not correct and S2 is correct.
(C)          S1 is correct and S2 is not correct.
(D)          S1 is correct and S2 is correct.
 Answer: D



43.         
What is the bit rate for transmitting uncompressed 800 × 600 pixel colour frames with 8 bits/pixel at 40 frames/second ?
(A)          2.4 Mbps
(B)          15.36 Mbps
(C)          153.6 Mbps
(D)          1536 Mbps
 Answer: C



44.         
In IPV 4, the IP address 200.200.200.200 belongs to
(A)          Class A
(B)          Class B
(C)          Class C
(D)          Class D
 Answer: C



45.          Which layer of OSI reference model is responsible for decomposition of messages and generation of sequence numbers to ensure correct re-composition from end to end of the network ?
(A)          Physical
(B)          Data-link
(C)          Transport
(D)          Application
 Answer: C



46.          
A client-server system uses a satellite network, with the satellite at a height of 40,000 kms.
What is the best-case delay in response to a request ?
(Note that the speed of light in air is 3,00,000 km/second).
(A)          133.33 m sec
(B)          266.67 m sec
(C)          400.00 m sec
(D)          533.33 m sec
 Answer: D



47.         
The start and stop bits are used in serial communication for
(A)          error detection
(B)          error correction
(C)          synchronization
(D)          slowing down the communication
 Answer: C


48.         
___ is a type of transmission impairment in which the signal looses strength due to the resistance of the transmission medium.
(A)          Attenuation
(B)          Distortion
(C)          Noise
(D)          Decibel
 Answer: A



49.         
Match the following :
List – I   List – II
a.            Indexed Addressing       i.              is not used when an operand is moved from memory into a register or from a register to memory.
b.            Direct Addressing            ii.             Memory address is computed by adding up two registers plus an (optional) offset.
c.             Register Addressing        iii.            Addressing memory by giving a register plus a content offset.
d.            Base-Indexed Addressing            iv.           can only be used to access global variables whose address is known at compile time.
                a              b             c              d
(A)          ii              i               iv             iii
(B)          ii              iv             i               iii
(C)          iii             iv             i               ii
(D)          iii             i               iv             ii
 Answer: C



50.         
Which of the following is a design criteria for instruction formats ?
(A)          The size of instructions
(B)          The number of bits in the address fields
(C)          The sufficient space in the instruction format to express all the operations desired.
(D)          All of these
 Answer: D




51.         
Synchronization is achieved by a timing device called a ___ which generates a periodic train of ___.
(A)          clock generator, clock pulse
(B)          master generator, clock pulse
(C)          generator, clock
(D)          master clock generator, clock pulse
 Answer: A or D



52.         
Serial access memories are useful in applications where
(A)          Data consists of numbers
(B)          Short access time is required
(C)          Each stored word is processed differently.
(D)          None of these
 Answer: D



53.         
What will be the output of the following logic diagram ?



(A)          x OR y
(B)          x AND y
(C)          x XOR y
(D)          x XNOR y
 Answer: C



54.         
The essential difference between traps and interrupts is
(A)          traps are asynchronous and interrupts are synchronous with the program.
(B)          traps are synchronous and interrupts are asynchronous with the program.
(C)          traps are synchronous and interrupts are asynchronous with the I/O devices.
(D)          None of these.
 Answer: B



55.         
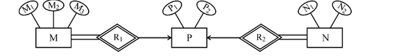
Consider the following ER diagram :


The minimum number of tables required to represent M, N, P, R1, R2 is
(A)          2
(B)          3
(C)          4
(D)          5
 Answer: A



56.         
Consider the following schemas :
Branch = (Branch-name, Assets, Branch-city)
Customer = (Customer-name, Bank name, Customer-city)
Borrow = (Branch-name, loan number, customer account-number)
Deposit = (Branch-name, Accountnumber, Customer-name, Balance)
Using relational Algebra, the Query that finds customers who have balance more than 10,000 is ___
(A)          Ï€ customer-name (σ balance > 10000 (Deposit)
(B)          σ customer-name (σ balance > 10000 (Deposit)
(C)          Ï€ customer-name (σ balance > 10000 (Borrow)
(D)          σ customer-name (Ï€ balance > 10000 (Borrow)
 Answer: A



57.         
Find the false statement :
(A)          The relationship construct known as the weak relationship type was defined by Dey, Storey & Barron (1999)
(B)          A weak relationship occurs when two relationship types are linked by either Event- Precedent sequence or Condition-Precedent sequence.
(C)          Conceptual model is not accurate representation of “Universe of interest”.
(D)          Ternary, Quaternary and Quintary relationships are shown through a series of application scenario’s and vignette’s.
 Answer: C



58.         
Consider the table
Student (stuid, name, course, marks).
Which one of the following two queries is correct to find the highest marks student in course 5 ?
Q.1.        Select S.stuid
From student S
Where not exists
(select from student e
where e course = ‘5’ and e marks ≥ s marks)
Q.2.        Select s.stu.id From student S
Where s marks > any
(select distinct marks from student S
where s.course = 5)
(A)          Q. 1
(B)          Q. 2
(C)          Both Q. 1 and Q. 2
(D)          Neither Q. 1 nor Q. 2
 Answer: B



59.         
Armstrong (1974) proposed systematic approach to derive functional dependencies. Match the following w.r.t. functional dependencies :
List – I   List – II
a.            Decomposition rule        i.              If X → Y and Z → W
then {X, Z} → {Y, W}
b.            Union rule           ii.             If X → Y and {Y, W}→ Z
then {X, W} → Z
c.             Composition rule             iii.            If X → Y and X→ Z
then X → {Y, Z}
d.            Pseudo transitivity rule iv.           If X → {Y, Z}
then X → Y and X → Z
                a              b             c              d
(A)          iii             ii              iv             i
(B)          i               iii             iv             ii
(C)          ii              i               iii             iv
(D)          iv             iii             i               ii
 Answer: D



60.         
Match the following :
List – I   List – II
a.            Secondary Index              i.              Functional Dependency
b.            Nonprocedural Query Language               ii.             B-Tree
c.             Closure of set of Attributes         iii.            Relational Algebraic Operation
d.            Natural JOIN      iv.           Domain Calculus
                a              b             c              d
(A)          i               ii              iv             iii
(B)          ii              i               iv             iii
(C)          i               iii             iv             ii
(D)          ii              iv             i               iii
 Answer: D



61.         
Which of the following is not true with respect to a trackball and/or spaceball ?
I.             A trackball is a two dimensional positioning device while as a spaceball provides six degrees of freedom.
II.            Unlike the trackball a spaceball does not actually move.
III.           A trackball is a three dimensional positioning device while as a spaceball provides six degrees of freedom.
(A)          I & II
(B)          II & III
(C)          II only
(D)          III only
 Answer: D



62.         
Which of the following statement(s) is (are) true ?
I.             Two successive translations are additive.
II.            Two successive rotations are additive.
III.           Two successive scaling operations are multiplicative.
(A)          I and II
(B)          I and III
(C)          II and III
(D)          All the above
 Answer: D



63.         
Given below are three basic rules :
I.             Squash and Stretch
II.            Slow-in and Slow-out
III.           To stage the action properly
These rules are applied in case of
(A)          (3, 0)
(B)          (1, 0)
(C)          (0.5, 0.5)
(D)          (0.5, 0)
 Answer: C



64.         
Which of the following points lies on the same side as the origin, with reference to the line 3x + 7y = 2 ?
(A)          (3, 0)
(B)          (1, 0)
(C)          (0.5, 0.5)
(D)          (0.5, 0)
 Answer: D



65.         
The transformation matrix required for conversion of CMY colour model to RGB colour model is given as :
(A)         
(B)         
(C)         
(D)         
 Answer: C



66.         
What steps shall be required to rotate an object about the point P1 (as shown in fig. 1) and its placement such that what was at P1 is now reduced and is at P2 (as shown in fig. 2) ?



I.             Translate P1 to origin
II.            Scale as required
III.           Rotate
V.            Translate to the final position P2
(A)          I, II and III
(B)          II, III and IV
(C)          I, III & IV
(D)          All of the above
 Answer: *



67.         
In Unix, how do you check that two given strings a and b are equal ?
(A)          test $a –eq $b
(B)          test $a –equal $b
(C)          test $a = $b
(D)          Sh –C test $a = = $b
 Answer: C



68.         
In windows 2000 operating system all the processor-dependent code is isolated in a dynamic link library called
(A)          NTFS file system
(B)          Hardware abstraction layer
(C)          Microkernel
(D)          Process Manager
 Answer: B



69.         
To place a sound into a word document, following feature of windows is used :
(A)          Clip board
(B)          Task switching
(C)          C Win App
(D)          OLE
 Answer: D



70.         
Translation Look-aside Buffer (TLB) is
(A)          a cache-memory in which item to be searched is compared one-by-one with the keys.
(B)          a cache-memory in which item to be searched is compared with all the keys simultaneously.
(C)          an associative memory in which item to be searched is compared one-by-one with the keys.
(D)          an associative memory in which item to be searched is compared with all the keys simultaneously.
 Answer: D



71.         
Simplest way of deadlock recovery is
(A)          Roll back
(B)          Preempt resource
(C)          Lock one of the processes
(D)          Kill one of the processes
 Answer: D



72.         
The directory structure used in Unix file system is called
(A)          Hierarchical directory
(B)          Tree structured directory
(C)          Directed acyclic graph
(D)          Graph structured directory
 Answer: C



73.         
Which statement is not true about process O in the Unix operating system ?
(A)          Process O is called init process.
(B)          Process O is not created by fork system call.
(C)          After forking process 1, process O becomes swapper process.
(D)          Process O is a special process created when system boots.
 Answer: A



74.         
Which of the following commands would return process_id of sleep command ?
(A)          Sleep 1 and echo $?
(B)          Sleep 1 and echo $#
(C)          Sleep 1 and echo $×
(D)          Sleep 1 and echo $!
 Answer: D



75.         
Possible thread states in Windows 2000 operating system
(A)          Ready, running and waiting
(B)          Ready, standby, running, waiting, transition and terminated
(C)          Ready, running, waiting, transition and terminated
(D)          Standby, running, transition and terminated

 Answer: B

0 comments:

Post a Comment

North India Campus

Popular

Archive

North India Campus. Powered by Blogger.

Welcome to North India Campus

Search Question Paper

Labels

1ST Semester M.SC IT(D) 1ST Semester MBA 1st & 2nd Semester BE 1st Semester B.Com 1st Semester BBA 1st Semester BCA (D) 1st Semester Bsc. IT (D) 1st Semester Bsc. IT 1 1st Semester M.Tech 1st Semester MCA 1st Semester MCA (D) 2nd Sem B.Com 2nd Sem BB 2nd Sem BBA 2nd Sem BCA 2nd Sem BCA (D) 2nd Sem BSC IT(D) 2nd Sem BSC(IT) 2nd Semester MBA A Foundation Course in Human Values and Professional Ethics ACCOUNTING FOR MANAGEMENT ADVANCE SOFTWARE ENGINEERING ADVANCED COMMUNICATION SYSTEMS ADVANCED MATHEMATICS FOR ENGINEERS Accounting and Financial Management Accounting and Financial Managementm Adolescence And Family Education B.Ed (Dec 2013) Adolescence And Family Education B.Ed (Dec 2014) Adolescence and Family Education B.Ed (2012) Advanced Accounting 2 Aligarh Muslim University Applied Physics 1 B.Ed (Dec 2008) B.Ed (Dec 2009) B.Ed (Dec 2011) B.Ed (Dec 2012) B.Ed (Dec 2013) B.Ed (Dec 2014) B.Ed (June 2008) B.Ed (June 2009) B.Ed (June 2015) BA 1 Syllabus BBA 1 BBA 2 BCA Question Papers BCA Syllabus 1 Bachelor in Science Fashion and Technology Basic Accounting Basic Chemistry Basic Electrical Engineering Basic Electronics Basic Mathematics BSC 1 Basoc Accounting Bridge Course in Mathematics Bsc.IT Business Communication-1 Business Communication-2 Business Communication-I 2 Business Environment 2 Business Laws 1 Business Mathematics Business Organisation and Management Business Statistics 2 C C Programming C Programming Bsc IT 1 C Programming Lecture Videos CADM 1st Semester Communication 2 Communication Skills Communication Skills 1 Communication and Soft Skills Communicative English Computer Applications Computer Fundamental Computer Graphics Video Lecture Computer In Education B.Ed (Dec 2013) Computer Mathematical Foundation MCA D Computer Networks 1st Semester Computer Operating System Computer Organization and Assembly Language Computer System Architecture 2 Computer and Education B.Ed (Dec 2011) Computer and Education B.Ed (Dec 2012) Computer in Education B.Ed (Dec 2008) Computer in Education B.Ed (Dec 2009) Computer in Education B.Ed (Dec 2014) Corporate Accounting Curriculum and Instruction B.Ed (Dec 2009) Curriculum and Instruction B.Ed (Dec 2011) Curriculum and Instruction B.Ed (Dec 2012) Curriculum and Instruction B.Ed (Dec 2013) Curriculum and Instruction B.Ed (Dec 2014) Curriculuman and Instruction B.Ed (Dec 2008) DATA COMMUNICATION NETWORK Data Structure 2 Data Structures 2 Data Structures Through C 2 Database Management with Microsoft Access Bsc IT 1 Delhi University News Desktop Publishing Tools 2 Digital Circuits and Logic Design 2 Digital Circuits and Logic Design 2 BCA D Digital Electronics 2 Digital Electronics Fundamentals 2 Distance Education B.Ed (Dec 2008) Distance Education B.Ed (Dec 2009) Distance Education B.Ed (Dec 2011) Distance Education B.Ed (Dec 2012) Distance Education B.Ed (Dec 2013) Distance Education B.Ed (Dec 2014) Dot Net Interview Questions & Answers. ELECTRONICS SYSTEM DESIGN Education Technology B.Ed (Dec 2009) Education and Evaluation B.Ed (Dec 2009) Education and Society B.Ed (Dec 2008) Education and Society B.Ed (Dec 2009) Education and Society B.Ed (Dec 2011) Education and Society B.Ed (Dec 2012) Education and Society B.Ed (Dec 2013) Education and Society B.Ed (Dec 2014) Educational Evaluation B.Ed (Dec 2008) Educational Evaluation B.Ed (Dec 2011) Educational Evaluation B.Ed (Dec 2012) Educational Evaluation B.Ed (Dec 2013) Educational Evaluation B.Ed (Dec 2014) Educational Technology B.Ed (Dec 2008) Educational Technology B.Ed (Dec 2011) Educational Technology B.Ed (Dec 2012) Educational Technology B.Ed (Dec 2013) Engineering Drawing and Graphics Engineering Mathematics Engineering Question Paper set 1 Engineering Syllabus English and Communication Skills English and Communication Skills 2 Environmental Science 2 Finaicial Accounting Financial Accounting Financial Management 2 Sem Fundamentals of Information Technology Bsc 1 Guidance and Counseling B.Ed (Dec 2008) Guidance and Counseling B.Ed (Dec 2011) Guidance and Counseling B.Ed (Dec 2012) Guidance and Counseling B.Ed (Dec 2013) Guidance and counseling B.Ed (Dec 2009) HIV and Aids Education B.Ed (Dec 2011) HIV and Aids Education B.Ed (Dec 2012) HIV and Aids Education B.Ed (Dec 2013) HP University News Hotel Management and Air Lines Syllabus Human Resource Management Human Resource Management 2 Information Management Information Technology for Management Intoduction to microprocessor 2 BCA D Introduction of Computers BBA1 Introduction to Computers 2 Introduction to I.T MCA D Introduction to Information Technology Introduction to Information Technology(BCA) Kurukshetra University News Lecture 20 Clipping -- Lines And Polygons MBA Papers MCA Notes MCA Question Papers Macro Economics 2 Management Syllabus Managerial Economics Marketing Management 2 Master Of Technology M-Tech Syllabus Mercantile Law 2 Metal Cutting Question Paper Metal Forming Question Paper Micro Economics NEURAL NETWORKS & FUZZY LOGIC Network Security OOP CPP 2 Object Oriented Programming in C++ Object Oriented Programming in Cpp Operating System Bsc IT 1 Operating system (BCA) Organisational Behaviour Organization Behaviour 2 Other Universities Others PCM 2 BCA D PGDCA PTU Affiliated Colleges of Integerated College PTU Affiliated Colleges of Management College PTU Affiliated Colleges of Architecture PTU Affiliated Colleges of Engineering PTU Affiliated Colleges of Pharmacy College PTU Forms Download PTU News and Events Panjab University News Pharmacy Syllabus Principles and Practices of Management Production and Operations Management 2 Programming Logic Development with C Programming in C Programming in C MCA D Psychology of Learning and Development B.Ed (Dec 2013) Psychology of Learning and Development B.Ed (Dec 2008) Psychology of Learning and Development B.Ed (Dec 2009) Psychology of Learning and Development B.Ed (Dec 2011) Psychology of Learning and Development B.Ed (Dec 2012) Quantitative Techniques RDBMS 2 RDBMS-I 2 Relational Database Management System Research Methodology 2 SAD 2 BCA D Syllabus of Computer Applications Syllabus of Journalism and Mass Communication Syllabus of Medical Laboratory Science System Analysis and Design System Analysis and Design 2 System Analysis and Design MCA D Teacher and School B.Ed (Dec 2008) Teacher and School B.Ed (Dec 2009) Teacher and School B.Ed (Dec 2011) Teacher and School B.Ed (Dec 2012) Teacher and School B.Ed (Dec 2013) Teacher of English B.Ed (Dec 2009) Teaching of English B.Ed (Dec 2008) Teaching of English B.Ed (Dec 2011) Teaching of English B.Ed (Dec 2012) Teaching of English B.Ed (Dec 2013) Teaching of Mathematics B.Ed (Dec 2009) Teaching of Mathematics B.Ed (Dec 2011) Teaching of Mathematics B.Ed (Dec 2012) Teaching of Mathematics B.Ed (Dec 2013) Teaching of Science B.Ed (Dec 2008) Teaching of Science B.Ed (Dec 2009) Teaching of Science B.Ed (Dec 2011) Teaching of Science B.Ed (Dec 2012) Teaching of Science B.Ed (Dec 2013) Teaching of Social Studies B.Ed (Dec 2008) Teaching of Social Studies B.Ed (Dec 2011) Teaching of Social Studies B.Ed (Dec 2012) Teaching of Social Studiess B.Ed (Dec 2013) Teaching of Social Study B.Ed (Dec 2009) Technical Communication UGC NET Computer Science Question Paper Uttarakhand Open University Video Lecture Web Technologies 1st Semester Web Technologies 2 Welding Technology Question Paper Workshop on IT and E-Commerce 2 data structures 2 BCA D principles of management 2